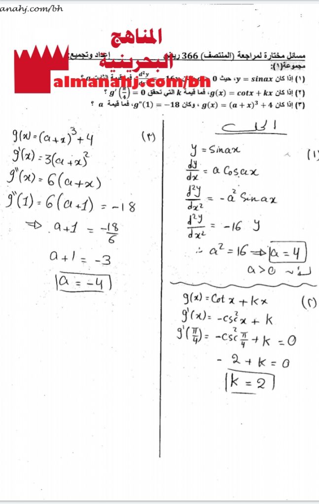
مراجعة المنتصف محلولة مقرر ريض 366 (رياضيات) الثالث الثانوي

تحميل مراجعة المنتصف محلولة مقرر ريض 366 (رياضيات) الثالث الثانوي ف2 | البحرين

تفاصيل الكتاب
اسم الكتابمراجعة المنتصف محلولة مقرر ريض 366 (رياضيات) الثالث الثانوي
اسم المؤلفنخبة من المدرسين
صيغة الكتابPDF
حجم الملف2.09MB
تاريخ النشر2019/2020
لغة الكتابالعربية
التصنيفمناهج وحلول دراسية

كتب مشابهة